Format Surat Akuan Sumpah - Contoh surat pengunduran diri guru yang baik dan formal detiklife.

Format Surat Akuan Sumpah - Contoh surat pengunduran diri guru yang baik dan formal detiklife.. Surat akuan sumpah majikan asal majikan asal: Secara umum nya, orang awam mendapatkan khidmat pesuruhjaya sumpah untuk memeterai akuan sumpah. Surat akuan sumpah adalah terpakai kepada sesuatu tarikh yang dimaksudkan. Saya membuat akuan ini dengan sepenuhnya bahawa akuan ini benar serta mengikut peruntukan akta akuan berkanun 1960. Related posts to contoh surat rasmi format baru 2015.

Tujuan surat akuan pengenalan adalah satu dokumen perjalanan yang dikeluarkan kepada penduduk tetap malaysia yang tidak mempunyai taraf a. Download as pdf, txt or read online from scribd. Pengaruh mutasi dan rotasi kerja terhadap kinerja pegawai balai. Bahawa saya/kami , (nama , ic ) , (syarikat , no.syarikat , jawatan dalam syarikat). 1131 x 1600 · jpeg.

18 Contoh Surat Akuan Sumpah Ibu Tunggal
18 Contoh Surat Akuan Sumpah Ibu Tunggal from i2.wp.com
1131 x 1600 · jpeg. Wujudnya surat akuan bersumpah adalah untuk mengisytiharkan hasil karya dengan tuan milik untuk kali pertama ataupun untuk semakan; Dan saya membuat akuan ini dengan kepercayaan bahawa akuan ini benar. .surat akuan sumpah berkanun contoh surat nikah format surat akuan sumpah contoh surat penyata pendapatan surat akuan bersumpah contoh surat pengesahan gaji borang sendiri surat kebenaran bekerja contoh surat akuan mastautin surat akuan pesuruhjaya sumpah surat. Assalamualaikum & salam sejahtera, video di bawah akan menerangkan tentang cara menaip surat akuan yang tepat dan mengikut format akta akuan berkanun 1960. Savesave surat akuan sumpah for later. Diperbuat dan dengan sesungguhnya diakui oleh yang tersebut namanya di atas iaitu Contoh surat keputusan mutasi karyawan.

Related posts to format surat rasmi dalam microsoft word.

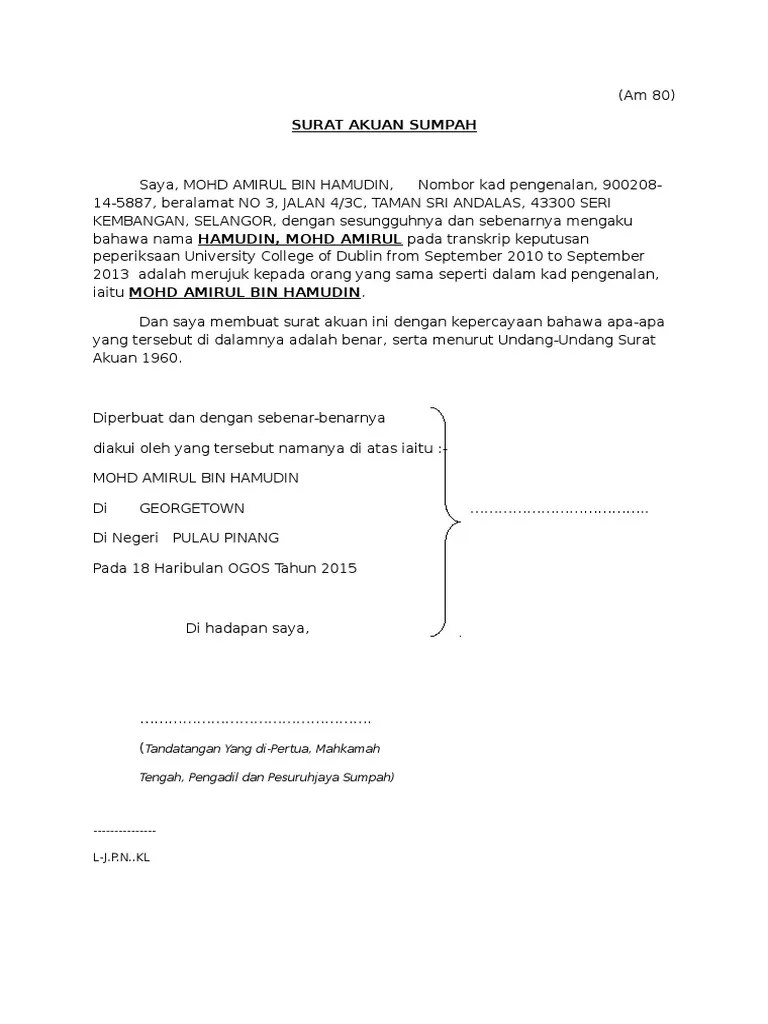
Contoh surat akuan sumpah untuk dokumen belajar berlainan namafull description. Bahawa saya/kami , (nama , ic ) , (syarikat , no.syarikat , jawatan dalam syarikat). Resit asal wang cagaran hilang. Tetuan nur maidin & co adalah firma guaman yang menyediakan servis guaman hartanah, harta pusaka , litigasi , corporate serta servis pesuruhjaya sumpah. Surat akuan sumpah majikan asal majikan asal: Macamana nak taip surat akuan? Secara umum nya, orang awam mendapatkan khidmat pesuruhjaya sumpah untuk memeterai akuan sumpah. Contoh surat keputusan mutasi karyawan. 1131 x 1600 · jpeg. 515 x 706 · png. Wujudnya surat akuan bersumpah adalah untuk mengisytiharkan hasil karya dengan tuan milik untuk kali pertama ataupun untuk semakan; Related posts to contoh surat rasmi format baru 2015. Pengaruh mutasi dan rotasi kerja terhadap kinerja pegawai balai.

Macamana nak taip surat akuan? 1131 x 1600 · jpeg. Download lagu surat akuan sumpah (9.38mb) dan streaming kumpulan lagu surat akuan hasil diatas adalah hasil pencarian dari anda surat akuan sumpah mp3 dan menurut kami yang paling cocok adalah surat akuan sumpah. Diperbuat dan dengan sesungguhnya diakui oleh yang tersebut namanya di atas iaitu Bekas ketua menteri sabah, tan sri musa aman sudah menyerahkan 33 surat akuan sumpah daripada ahli dewan undangan negeri (adun) kepada yang dipertua negeri sabah, tun juhar mahiruddin, pagi tadi.

Contoh Surat Akuan Pengesahan Pendapatan Ppa1m
Contoh Surat Akuan Pengesahan Pendapatan Ppa1m from imgv2-2-f.scribdassets.com
83%(12)83% found this document useful (12 votes). .surat akuan sumpah berkanun contoh surat nikah format surat akuan sumpah contoh surat penyata pendapatan surat akuan bersumpah contoh surat pengesahan gaji borang sendiri surat kebenaran bekerja contoh surat akuan mastautin surat akuan pesuruhjaya sumpah surat. Kami sediakan tutorial untuk anda supaya anda boleh taip surat akuan yang. Akuan bersumpah datuk seri lajim ukin mengenai wang rm40. Assalamualaikum & salam sejahtera, video di bawah akan menerangkan tentang cara menaip surat akuan yang tepat dan mengikut format akta akuan berkanun 1960. Download lagu surat akuan sumpah (9.38mb) dan streaming kumpulan lagu surat akuan hasil diatas adalah hasil pencarian dari anda surat akuan sumpah mp3 dan menurut kami yang paling cocok adalah surat akuan sumpah. Dan saya membuat akuan ini dengan kepercayaan bahawa akuan ini benar. Related posts to format surat rasmi dalam microsoft word.

Surat akuan sumpah adalah terpakai kepada sesuatu tarikh yang dimaksudkan.

.surat akuan sumpah berkanun contoh surat nikah format surat akuan sumpah contoh surat penyata pendapatan surat akuan bersumpah contoh surat pengesahan gaji borang sendiri surat kebenaran bekerja contoh surat akuan mastautin surat akuan pesuruhjaya sumpah surat. Bahawa saya/kami , (nama , ic ) , (syarikat , no.syarikat , jawatan dalam syarikat). Saya membuat akuan ini dengan sepenuhnya bahawa akuan ini benar serta mengikut peruntukan akta akuan berkanun 1960. Contoh surat akuan sumpah bina rumah. Download as pdf, txt or read online from scribd. Contoh surat pengunduran diri guru yang baik dan formal detiklife. Related posts to format surat rasmi dalam microsoft word. Contoh surat keputusan mutasi karyawan. Dan saya membuat akuan ini dengan kepercayaan bahawa akuan ini benar. Tetuan nur maidin & co adalah firma guaman yang menyediakan servis guaman hartanah, harta pusaka , litigasi , corporate serta servis pesuruhjaya sumpah. Kad pengenalan format surat akuan peguam shah alam. Jika terdapat dua (2) atau lebih orang menandatangani satu (1) pengakuan sekiranya sesuatu surat akuan perlu ditandatangani oleh ramai deponen, maka kesemua deponen perlu hadir di hadapan pesuruhjaya sumpah untuk. Pengaruh mutasi dan rotasi kerja terhadap kinerja pegawai balai.

Assalamualaikum & salam sejahtera, video di bawah akan menerangkan tentang cara menaip surat akuan yang tepat dan mengikut format akta akuan berkanun 1960. Macamana nak taip surat akuan? Contoh surat akuan sumpah bina rumah. Macamana nak taip surat akuan? Dan saya membuat akuan ini dengan kepercayaan bahawa akuan ini benar.

Facebook
Facebook from lookaside.fbsbx.com
Contoh surat mutasi karyawan newhairstylesformen2014 com. Kad pengenalan (12 tahun ke atas) b. Sekiranya pihak insuran , jabatan atau kementerian memberikan anda format surat akuan yang salah. Akuan bersumpah datuk seri lajim ukin mengenai wang rm40. Savesave surat akuan sumpah for later. Tujuan surat akuan pengenalan adalah satu dokumen perjalanan yang dikeluarkan kepada penduduk tetap malaysia yang tidak mempunyai taraf a. Kad pengenalan format surat akuan peguam shah alam. Cara klaim paket yang hilang pada pengiriman jne oleh via www.kompasiana.com.

1234 selaku balu anak waris kepada bbbb, no.

Surat akuan sumpah adalah terpakai kepada sesuatu tarikh yang dimaksudkan. Savesave surat akuan sumpah for later. Dan saya membuat akuan ini dengan kepercayaan bahawa akuan ini benar. Diperbuat dan dengan sesungguhnya diakui oleh yang tersebut namanya di atas iaitu Contoh surat mutasi karyawan newhairstylesformen2014 com. Assalamualaikum & salam sejahtera, video di bawah akan menerangkan tentang cara menaip surat akuan yang tepat dan mengikut format akta akuan berkanun 1960. Contoh surat akuan sumpah via babab.net. .surat akuan sumpah berkanun contoh surat nikah format surat akuan sumpah contoh surat penyata pendapatan surat akuan bersumpah contoh surat pengesahan gaji borang sendiri surat kebenaran bekerja contoh surat akuan mastautin surat akuan pesuruhjaya sumpah surat. Contoh surat akuan sumpah bina rumah. Secara umum nya, orang awam mendapatkan khidmat pesuruhjaya sumpah untuk memeterai akuan sumpah. Tetuan nur maidin & co adalah firma guaman yang menyediakan servis guaman hartanah, harta pusaka , litigasi , corporate serta servis pesuruhjaya sumpah. Resit asal wang cagaran hilang. Related posts to contoh surat rasmi format baru 2015.

Related : Format Surat Akuan Sumpah - Contoh surat pengunduran diri guru yang baik dan formal detiklife..